
返回 染整资讯
回潮率和含水率的换算关系
一、含水率
纺织材料中水分的重量占材料湿重的百分率称之为含水率。设试样的干重为Go,试样的湿重为Ga,则含水率M为:
二、回潮率和含水率的换算关系
1、回潮率不同时重量的换算
设纤维试样的于重为Go,试样的湿重为Ga。
当试样的回潮率为W1时,根据式(1—29),可推算出:
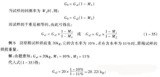
2、含水率不同时重量的换算
设纤维试样的干重为G0,试样的湿重力Ga与回潮率不同时重量的换算原理相同,当试样的回潮率为M1时,根据式(1—31)可推算出:
服务热线:400-6665-620 联系人:曹先生 东莞市天盛化工科技有限公司 版权所有 @ Copyright 2015 |